
 容-源-電-子-網-為你提供技術支持
容-源-電-子-網-為你提供技術支持
非常感謝用戶yongfukang 的投稿!
本文地址:http://m.flswjt.cn/gongfangdianlu/y/16233950154309.shtml
本文標簽:
猜你感興趣:
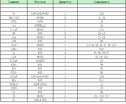
 HT8513 單節鋰電供電內置動態同步升壓5W單聲道音頻功放IC
					
					HT8513 單節鋰電供電內置動態同步升壓5W單聲道音頻功放IC
					深圳市永阜康科技有限公司針對便攜式藍牙音箱以及4寸、6寸手提戶外音箱的應用需求,推廣一款單節鋰電池供電內置動態同步升壓5W單聲道音頻功放IC-HT8513。HT8513相比同類競品有三大優勢:一是采用高效率的同步升壓,相比非同步效率提高5%,并且外圍不需要肖特基二極管,外圍升壓采用小電感,PCB面積也更小,整機成本更低;二是動態升壓,芯片內部自動檢測輸入音頻信號大小,小信號不升壓,大信號自動升壓,極大延長鋰電池的續航時間(尤其是中小音量播放時測試,相對恒定升壓音頻功放播放時間延長15%以上);三是相比電荷