電阻
	  
圖1 電阻等效電路
電阻的等效阻抗
同一個電阻元件在通以直流和交流電時測得的電阻值是不相同的。在高頻交流下,須考慮電阻元件的引線電感L0和分布電容C0的影響,其等效電路如圖1所示,圖中R為理想電阻。由圖可知此元件在頻率f下的等效阻抗為
	
式 1
上式中ω=2πf, Re和Xe分別為等效電阻分量和電抗分量,且
	
式 2
從上式可知Re除與f有關外,還與L0、C0有關。這表明當L0、C0不可忽略時,在交流下測此電阻元件的電阻值,得到的將是Re而非R值
電感
電感等效電路
	
圖2 電感等效電路
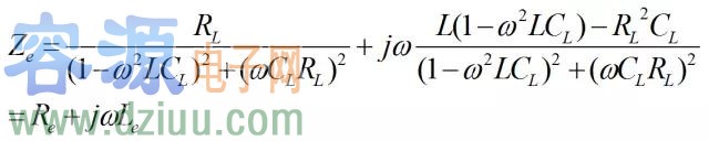
電感的等效阻抗
電感元件除電感L外,也總是有損耗電阻RL和分布電容CL。一般情況下RL和CL的影響很小。電感元件接于直流并達到穩態時,可視為電阻;若接于低頻交流電路則可視為理想電感L和損耗電阻RL的串聯;在高頻時其等效電路如圖2所示。比較圖1和圖 2可知二者實際上是相同的,電感元件的高頻等效阻抗可參照式 1來確定
	
式 3
式中 Re和Le分別為電感元件的等效電阻和等效電感。
從上式知當CL甚小時或RL、CL和ω都不大時,Le才會等于L或接近等于L。
電容
電容等效電路
	
圖3 電容等效電路
電容的等效阻抗
在交流下電容元件總有一定介質損耗,此外其引線也有一定電阻Rn和分布電感Ln,因此電容元件等效電路如圖 3所示。圖中C是元件的固有電容,Rc是介質損耗的等效電阻。等效阻抗為
	
式 4
式中 Re和Ce分別為電容元件的等效電阻和等效電容, 由于一般介質損耗甚小可忽略(即Rc→∞),Ce可表示為
	
式 5
從上述討論中可以看出,在交流下測量R、L、C,實際所測的都是等效值Re、Le、Ce;由于電阻、電容和電感的實際阻抗隨環境以及工作頻率的變化而變,因此,在阻抗測量中應盡量按實際工作條件(尤其是工作頻率)進行,否則,測得的結果將會有很大的誤差,甚至是錯誤的結果。
功率二極管的正向導通等效電路
(1):等效電路
	
(2):說明:
二極管正向導通時可用一電壓降等效,該電壓與溫度和所流過的電流有關,溫度升高,該電壓變小;電流增加,該電壓增加。詳細的關系曲線可從制造商的手冊中獲得。
功率二極管的反向截止等效電路
(1):等效電路
	
(2):說明:
二極管反向截止時可用一電容等效,其容量與所加的反向電壓、環境溫度等有關,大小可從制造商的手冊中獲得。
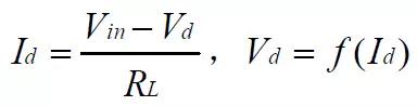
功率二極管的穩態特性總結
(1):功率二極管穩態時的電流/電壓曲線
	
(2):說明:
二極管正向導通時的穩態工作點:
	
當Vin >>Vd 時,有:
	
而Vd對于不同的二極管,其范圍為 0.35V~2V。
二極管反向截止時的穩態工作點: Id≈0,Vd = -Vin
(3):穩態特性總結:
-- 是一單向導電器件(無正向阻斷能力);
-- 為不可控器件,由其兩斷電壓的極性控制通斷,無其它外部控制;
-- 普通二極管的功率容量很大,但頻率很低;
-- 開關二極管有三種,其穩態特性和開關特性不同:
-- 快恢復二極管;
-- 超快恢復,軟恢復二極管;
-- 蕭特基二極管(反向阻斷電壓降<<200V,無反向恢復問題);
-- 器件的正向電流額定是用它的平均值來標稱的;只要實際的電流平均值沒有超過其額定值,保證散熱沒問題,則器件就是安全的;
-- 器件的通態電壓呈負溫度系數,故不能直接并聯使用;
-- 目前的 SiC 功率二極管器件,其反向恢復特性非常好。
MOS管
功率MOSFET的正向導通等效電路
(1):等效電路
	
(2):說明:
功率 MOSFET 正向導通時可用一電阻等效,該電阻與溫度有關,溫度升高,該電阻變大;它還與門極驅動電壓的大小有關,驅動電壓升高,該電阻變小。詳細的關系曲線可從制造商的手冊中獲得。
功率MOSFET的反向導通等效電路(1)
(1):等效電路(門極不加控制)
	
(2):說明:
即內部二極管的等效電路,可用一電壓降等效,此二極管為MOSFET 的體二極管,多數情況下,因其特性很差,要避免使用。
功率MOSFET的反向導通等效電路(2)
(1):等效電路(門極加控制)
	
(2):說明:
功率 MOSFET 在門級控制下的反向導通,也可用一電阻等效,該電阻與溫度有關,溫度升高,該電阻變大;它還與門極驅動電壓的大小有關,驅動電壓升高,該電阻變小。詳細的關系曲線可從制造商的手冊中獲得。此工作狀態稱為MOSFET 的同步整流工作,是低壓大電流輸出開關電源中非常重要的一種工作狀態。
功率MOSFET的正向截止等效電路
(1):等效電路
	
(2):說明:
功率 MOSFET 正向截止時可用一電容等效,其容量與所加的正向電壓、環境溫度等有關,大小可從制造商的手冊中獲得。
功率MOSFET的穩態特性總結
(1):功率MOSFET 穩態時的電流/電壓曲線
	
(2):說明:
功率 MOSFET 正向飽和導通時的穩態工作點:
	
當門極不加控制時,其反向導通的穩態工作點同二極管。
(3):穩態特性總結:
-- 門極與源極間的電壓Vgs 控制器件的導通狀態;當Vgs<Vth時,器件處于斷開狀態,Vth一般為 3V;當Vgs>Vth時,器件處于導通狀態;器件的通態電阻與Vgs有關,Vgs大,通態電阻小;多數器件的Vgs為 12V-15V ,額定值為+-30V;
-- 器件的漏極電流額定是用它的有效值或平均值來標稱的;只要實際的漏極電流有效值沒有超過其額定值,保證散熱沒問題,則器件就是安全的;
-- 器件的通態電阻呈正溫度系數,故原理上很容易并聯擴容,但實際并聯時,還要考慮驅動的對稱性和動態均流問題;
-- 目前的 Logic-Level的功率 MOSFET,其Vgs只要 5V,便可保證漏源通態電阻很小;
-- 器件的同步整流工作狀態已變得愈來愈廣泛,原因是它的通態電阻非常小(目前最小的為2-4 毫歐),在低壓大電流輸出的DC/DC 中已是最關鍵的器件;
包含寄生參數的功率MOSFET等效電路
(1):等效電路
	
(2):說明:
實際的功率MOSFET 可用三個結電容,三個溝道電阻,和一個內部二極管及一個理想MOSFET 來等效。三個結電容均與結電壓的大小有關,而門極的溝道電阻一般很小,漏極和源極的兩個溝道電阻之和即為MOSFET 飽和時的通態電阻。
容-源-電-子-網-為你提供技術支持本文地址:http://m.flswjt.cn/dianlutu/15430283342614.shtml
本文標簽:
猜你感興趣:
 可編程展頻振蕩器 YSO171PS系列
					
					可編程展頻振蕩器 YSO171PS系列
					展頻晶振(Spread Spectrum Crystal Oscillator,簡稱SSXO)應運而生。展頻晶振是一種特殊類型的晶體振蕩器,主要依托于擴展頻譜技術。這項技術在抗干擾通信中有著廣泛的應用
 選擇石英晶振時如何逐步確定參數和類型
					
					選擇石英晶振時如何逐步確定參數和類型
					常見的設備頻率參數都在10MHZ到100MHZ之間,還有要確定下是否使用到低頻晶體等。確定晶振參數時要考慮到具體的應用需求,同時核對晶振封裝上的參數標注,確保購買的晶振參數符合我們的要求。
 差分晶振在實際應用中有哪些優勢
					
					差分晶振在實際應用中有哪些優勢
					目前,差分晶振已應用于衛星、火箭等領域。可在通信、導航、汽車、航空航天、國防、工業、電信、消費市場、、固定通信、消費電子、汽車電子、物聯網、手機、對講機、GPS/北斗定位器、汽車電子系統、倒車雷達、小基站、LTE、RFID、激光測距儀、筆記本、平板電腦、數碼套群通信系統、儀器儀表等諸多領域推廣應用。
 高精準360°全景環視機器人 穩定的寬電壓有源晶振 YSO110TR,實現智能機器人應用
					
					高精準360°全景環視機器人 穩定的寬電壓有源晶振 YSO110TR,實現智能機器人應用
					YSO110TR采用主流封裝尺寸3.2*2.5mm,供應穩定,性價比高,使其在智能機器人的集成和布局上更加便捷。同時,它具備寬電壓范圍1.8V-3.3V
 如何在有源晶振十大品牌內按需選擇
					
					如何在有源晶振十大品牌內按需選擇
					在挑選和購買有源晶振時自然要重視品牌的選擇,因此不少用戶都是在有源晶振十大品牌內對比和挑選。
 選晶振時該如何判斷品質好壞
					
					選晶振時該如何判斷品質好壞
					晶振作為重要的電子元器件芯片在很多方面都有應用,當批量購買晶振時自然不能只關注其價格,尤其是在對比預算內的晶振產品時要重視其品質。
 溫度補償晶振也是石英晶體振蕩器之一,簡稱“溫補晶振”
					
					溫度補償晶振也是石英晶體振蕩器之一,簡稱“溫補晶振”
					TCXO溫度補償石英晶體振蕩器是一種通過附加的溫度補償電路來減小因環境溫度變化而引起的振蕩頻率變化的石英晶體振蕩器。
 高精度保障 智能機器人的“心臟”:寬電壓有源晶振YSO110TR
					
					高精度保障 智能機器人的“心臟”:寬電壓有源晶振YSO110TR
					寬電壓有源晶振 YSO110TR的優勢在于其高精度和穩定性。擁有8MHz的頻率輸出,全溫范圍內總頻差僅為±30PPM,YSO110TR保證了機器人系統的高精度控制和穩定運行。無論在-40~+85℃的嚴苛溫度環境下,晶振都能保持穩定的性能,為智能機器人的高精度運動和計算提供可靠的時鐘信號。
 分享 | 可編程晶振芯片幾個知識點
					
					分享 | 可編程晶振芯片幾個知識點
					什么是可編程晶振?可編程晶振多為有源晶振,由兩個芯片組成;一個是全硅MEMS諧振器,一個是具有溫補功能的芯片,可以啟動電路鎖相環CMOS。它采用標準化的半導體芯片MCM封裝。可以采用全自動標準半導體制造工藝
 溫補晶振的5種分類大家要知道
					
					溫補晶振的5種分類大家要知道
					對于溫補晶振分類有溫度補償晶體振蕩器、壓控晶體振蕩器、恒溫晶體振蕩器和數字補償晶體振蕩器,這些都是溫補晶振分類,尤其是每一種都有自己獨特的性能。
 手機車載互聯-有源晶振YSO120TK穩定連接未來
					
					手機車載互聯-有源晶振YSO120TK穩定連接未來
					YSO120TK采用3225 4P主流封裝尺寸,小型化的設計使其在汽車內部布局更加靈活。無論是嵌入式控制器還是車載通信模塊,YSO120TK都能為其提供可靠的時鐘源,為手機車載互聯的順暢體驗提供強有力的支持。
 溫補晶振有什么特性呢
					
					溫補晶振有什么特性呢
					其實對于溫補晶振特點都是需要了解其特性的。溫度補償晶體振蕩器是一種石英晶體振蕩器,它通過加入溫度補償電路來減小環境溫度變化引起的振蕩頻率的變化。具有溫度補償功能的石英晶體振蕩器可分為三類:直接補償、間接補償和數字補償。
 高頻靈活定制-存儲與計算 可編程差分振蕩器YSO210PR應用于服務器與大數據
					
					高頻靈活定制-存儲與計算 可編程差分振蕩器YSO210PR應用于服務器與大數據
					可編程差分振蕩器 YSO210PR在機器人的智能視覺控制、工業屏、望遠鏡等領域具有顯著優勢。其高精度、穩定性和靈活的定制特性使得YSO210PR成為了機器人應用中不可或缺的元器件,為機器人技術的發展和應用提供了強有力的支持。
 溫補晶振是干什么的?這些知識要知道
					
					溫補晶振是干什么的?這些知識要知道
					溫補晶振在無線傳輸的應用中,無線透明傳輸模塊以體積小、功耗低為重要發展指標。在正常工作條件下,常見的晶振頻率的精度可以達到百萬分之五十,而溫補晶振的精度更高。溫度補償晶振由恒溫槽控制電路和振蕩電路組成。通常用熱敏電阻“橋”組成的差分串聯放大器來實現溫度控制。
 智能終端通信利器:低抖動YSO690PR可編程天線完美融合
					
					智能終端通信利器:低抖動YSO690PR可編程天線完美融合
					在通信科技的推動下,智能終端天線和低抖動晶振不斷創新,將引領通信產業進入新的時代。YSO690PR系列作為高性能智能終端通信利器,將為各類智能終端設備提供更加穩定和高效的通信支持,推動科技的蓬勃發展。無論是日常生活還是工業應用,這些優秀的技術將為人們帶來更加便捷、智能的通信體驗。
 使用差分晶振有什么好處呢?
					
					使用差分晶振有什么好處呢?
					其實對于差分晶振的好處有很多,比如差分晶振可以外部電磁干擾(EMI)具有很高的免疫力。一個干擾源對差分信號的每一端的影響程度幾乎相同。由于電壓差決定了信號的值,兩條導線上的任何干擾都將被忽略。除了較不敏感的干擾之外,差分信號比單端信號產生更少的EMI,這是在工業生產中比較常見的。
 YXC有源晶振為功放音響提供時鐘方案
					
					YXC有源晶振為功放音響提供時鐘方案
					在功放音響設備中,晶振作為關鍵的元件,對于電路的穩定性和性能發揮起著至關重要的作用。然而,不正確使用晶振可能導致一系列問題,如播放雜音等,因此對其進行優化十分重要。
 穩定性與高性能的晶體諧振器YSX321SL無源晶振,清晰的可視門鈴體驗
					
					穩定性與高性能的晶體諧振器YSX321SL無源晶振,清晰的可視門鈴體驗
					YSX321SL是一款3225、4P貼片晶振和晶體諧振器,采用先進的陶瓷焊縫工藝制作,確保了產品的高精度、高頻率穩定性和可靠性。無源晶振具有低功耗和低抖動的特點,而貼片式金屬封裝則進一步增強了其性能表現。這種封裝還降低了電磁干擾(EMI)對系統的影響,保證了信號傳輸的穩定性和可靠性。
 YXC晶振解決方案AI服務器中的應用
					
					YXC晶振解決方案AI服務器中的應用
					目前,應用在AI服務器中的振蕩器主要為差分晶振。主要是因為,相比單端輸出振蕩器,差分晶振可以產生高質量的差分時鐘信號,對共模干擾和噪聲具有較強的抵抗能力,能提供大幅度和高頻率的時鐘信號,適合驅動長線路,這些特點很好地滿足AI服務器對穩定高性能運行的要求,所以AI服務器選用差分晶振作為其基準時鐘信號源是十分合理的選擇。
 ACM6252  單相正弦波/方波(BLDC)直流無刷電機驅動IC解決方案
					
					ACM6252  單相正弦波/方波(BLDC)直流無刷電機驅動IC解決方案
					深圳市永阜康科技有限公司現在大力推廣一顆單相正弦波/方波直流無刷電機驅動IC-ACM6252. 工作電壓3.1V-18V、工作電流1.2A, 可覆蓋大多數中小功率(<1A)的風機、泵機類應用。